Дифференциальные уравнения, не разрешенные относительно производной.
F(x,y,y')=0
1. Из уравнения F(x,y,y')=0 выразить y' через x и y. Получится одно или несколько уравнений вида y'=f(x,y), каждое из которых надо решить.
Пример.
у'2-y2=0
y'=y и y'=-y
dy/y=dx и dy/y=-dx
ln|y|=x+lnC и ln|y|=-xlnD
y=Cex и y=De-x
2. Метод параметра (простейший вариант метода).
Пусть уравнение F(x,y,y')=0 можно разрешить относительно y.
y=f(x,y').
Введем параметр p=y'=dy/dx
Тогда y=f(x,p)
Возьмем полный дифференциал от обеих частей, заменив dy через pdx, получим
pdx=fx'dx+fy'dy
Если решение этого уравнения найдено в виде x=φ(p), то получим решение исходного уравнения в параметрической форме:
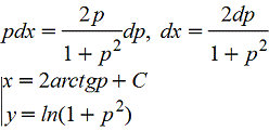
Пример
y=ln(1+y'2)
p=y'=dy/dx, y=ln(1+p2)

При делении на р потеряли решение у=0
3. Если уравнение F(x,y,y')=0 можно разрешить относительно х:
x=f(y,y'), то также как в 2 вводим параметр p=y'=dy/dx
4. Уравнение Лагранжа
y=xφy'+Ψ(y')
и уравнение Клеро
y=xy'+Ψ(y')
являются частными случаями, рассмотренными в пункте 2.
5) Немного об особых решениях. Решение y=φ(х) уравнения F(x,y,y')=0 называется особым, если через каждую его точку, кроме этого решения, проходит и другое ршение, имеющее в этой точке ту же касательную, что и решение φ(х), но не совпадающее сним в сколь угодно малой окрестности этой точки. Пусть F(x,y,y'), δF/δy и δF/δy' непрерывны. Тогда любое особое решение уравнения F(x,y,y')=0 удовлетворяет и уравнению δF(x,y,y')/δy'=0.
Чтобы отыскать особые решения, надо из системы
исключить y'. Полученное уравнение называется дискриминантной кривой. Для каждой ветви дискриминантной кривой надо проверить, является ли эта ветвь решением и если является, то будет ли оно особым (т.е. нарушается ли единственность в каждой его точке).
Пример.
y=xy'-y2 - Уравнение Клеро
p=y'=dy/dx, y=xp-p2
pdx=pdx+xdp-2pdp
(x-2p)dp=0
dp=0, p=c, следовательно
x=2p, y=xp-p2
y=Cx-C2 или y=(x2/2)-(x2/4)
y=x2/4-особое решение
y=x2/4 решение исходного уравнения. Докажем, что особое.
Берем произвольную точку на решении y=x2/4, например (xo,x2o/4). найдем С, при котором прямая y=Cx-C2 также проходила через эту точку x2o/4=Cxo-C2, следовательно C=xo/2, т.е. y=(xo/2)x-(x2o/4).
|