Инженерный справочник DPVA.ru (ex DPVA-info)

Проект Карла III Ребане и хорошей компании
 Задвижки, фильтры, кланы, клапаны, виброкомпенсаторы ABRA
Межфланцевые прокладки. Герметики. Уплотнительные материалы

Группа в FaceBook - тыц!



Free counters!

Адрес этой страницы (вложенность) в справочнике dpva.ru:  главная страница  / / Техническая информация / / Математический справочник / / Решение уравнений и неравенств. Системы уравнений. Формулы. Методы. / / Решение дифференциальных уравнений (диффуров). Дифференциальные уравнения, порядок дифференциального уравнения. Системы дифференциальных уравнений. / / Примеры решений простейших = решаемых аналитически обыкновенных дифференциальных уравнений первого порядка.  / / Примеры решений дифференциальных уравнений с разделяющимися переменными (и сводящихся к ним)


  Вы сейчас находитесь в каталоге:
   Примеры решений простейших = решаемых аналитически обыкновенных дифференциальных уравнений первого порядка.   

Примеры решений дифференциальных уравнений с разделяющимися переменными (и сводящихся к ним)

Поделиться:   

Примеры решений дифференциальных уравнений с разделяющимися переменными (и сводящихся к ним)

1.Общий вид y'=f(x)*g(y), х∈ (a,b)

или

m(x)*n(y)dy+p(x)*q(y)dx=0, х∈ (a,b)

Для решения такого уравнения, надо обе части умножить или разделить на такое выражение чтобы в одну часть уравнения входил только х, в другую только y, а затем проинтегрировать обе части.

При этом при делении могут быть потряны решения.

Пример:

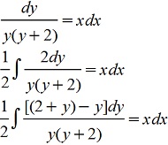
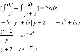
y'-xy2=2xy

y'=xy(y+2)

Делим на y(y+2)

При делении на y(y+2) потеряно решение у=0

2) Уравнение вида y'=f(ax+by) приводятся к уравнениям с разделяющимися переменными заменой z=ax+by или z=ax+by+c где с любая

константа.

Пример.

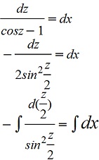
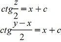
y'=cos(y-x)

замена z(x)=y(x)-x

y'=z'+1

z'+1=cosz

При делении на (cosz-1) потеряли решение cosz-1=0; z=2πk, k∈ z. y-x= 2πk


Поиск в инженерном справочнике DPVA. Введите свой запрос:
Дополнительная информация от Инженерного cправочника DPVA, а именно - другие подразделы данного раздела:
Поиск в инженерном справочнике DPVA. Введите свой запрос:|
Если Вы не обнаружили себя в списке поставщиков, заметили ошибку, или у Вас есть дополнительные численные данные для коллег по теме, сообщите , пожалуйста.
Вложите в письмо ссылку на страницу с ошибкой, пожалуйста.